R/R AML治疗日新月异,精准靶向药物崭露锋芒
AML是成人白血病中常见的类型,也是预后较差的白血病亚型。传统“3+7”强化疗方案是新诊断适合化疗AML患者的标准治疗方案,然而10%-40%的新诊断AML患者在强化化疗后无法达到完全缓解(CR),即使初始治疗达到CR仍有约50%患者复发1。同样,接受异基因造血干细胞移植(allo-HSCT)的AML患者复发率也高达30%2。复发后患者预后更差,中位总生存期(OS)仅为5-7个月3。
近年来,随着化疗、靶向治疗、免疫治疗等治疗方案的不断改进,R/R AML患者预后得以改善。与传统化疗相比,靶向治疗药物作用机制更具特异性、毒性更低,成为R/R AML患者新的治疗选择2。研究表明,与采用标准化疗方案治疗的AML患者相比,根据不同的基因突变采用精准靶向治疗患者的OS显著延长4。
精准靶向药物艾伏尼布开拓IDH1突变R/R AML患者治疗新格局
目前临床中已经成功开发出诸多针对AML常见突变的精准靶向治疗药物。其中,AML患者中IDH1突变的发生率约为6%-10%,其参与AML的发生发展,成为AML的重要治疗靶点2。全球范围IDH1抑制剂研发进展迅速,多款药物处于Ⅰ至Ⅲ期临床实验中。目前,全球仅两款IDH1抑制剂获得FDA批准上市,分别为:Olutasidenib用于IDH1突变的R/R AML成人患者5;艾伏尼布(Ivosidenib)用于IDH1突变的多个瘤种包括AML(初诊AML:联合阿扎胞苷或单药用于IDH1突变的新诊断75岁以上或不能耐受强化疗的AML成人患者,或单药用于R/R AML成人患者),复发难治性MDS(骨髓增生异常综合征)成人患者和局晚期或转移性CCA(胆管癌)成人患者6。同时,艾伏尼布已于2022年获得国家药品监督管理局(NMPA)批准用于采用经充分验证的检测方法诊断为携带IDH1突变的R/R AML成人患者7。
艾伏尼布的获批主要来源于其全球关键性研究AG120-C-001和中国桥接研究CS3010-101的疗效和安全性数据。
01
全球关键性研究AG120-C-001:艾伏尼布在IDH1突变R/R AML患者中CR/CRh率为31.8%,耐受性良好
AG120-C-001研究是一项多中心、开放标签、Ⅰ期剂量递增和扩增研究,旨在评估艾伏尼布治疗IDH1突变的晚期血液系统恶性肿瘤的安全性、最大耐受剂量、药代动力学和药效学特征以及临床活性。
2018年美国临床肿瘤学会(ASCO)年会上更新了该项临床研究的结果。该研究共纳入了258例患者,其中179例为R/R AML患者。研究结果显示,在每日接受500mg艾伏尼布的179例R/R AML患者中,CR/完全缓解伴部分血液学恢复(CRh)率为31.8%,CR率为24.0%,CR/CRh的中位持续时间为8.2个月,达CR/CRh的中位时间为2个月(表1)。中位随访15.3个月后,达到CR+CRh患者的中位OS为18.8个月(图1)。达到CR或CRh的患者中,有23%的患者清除了骨髓单核细胞的IDH1突变8。≥3级治疗相关的不良事件发生率较低,常见的≥3级治疗相关不良事件包括QT间期延长(7.8%)、IDH分化综合症(3.9%)等9。研究表明,艾伏尼布治疗IDH1突变R/R AML可达到持久缓解,且患者耐受性良好。
表1. 艾伏尼布治疗患者的血液学缓解情况和缓解持续时间


图1. 接受艾伏尼布治疗后不同缓解情况的患者的OS
基于艾伏尼布AG120-C-001研究的突破性成果,2024年V2版NCCN AML诊疗指南推荐艾伏尼布治疗IDH1突变R/R AML患者10。
02
中国桥接研究CS3010-101:艾伏尼布治疗中国IDH1突变R/R AML的CR/CRh率为36.7%,耐受性良好
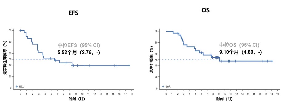
CS3010-101是一项多中心、单臂、Ⅰ期研究。该研究共纳入30例IDH1突变的R/R AML患者,结果显示,在30例可评估患者中,CR+CRh率为36.7%,11例患者均达到CR。预估12个月CR+CRh的持续缓解率为90.9%(图2)。2例(6.7%)患者在达到CR或CRh后接受造血干细胞移植。中位无事件生存期(EFS)为5.52个月,中位OS为9.1个月,CR/CRh患者的中位OS尚未达到(图3)。特别关注的不良事件为IDH分化综合征(10.0%)和QT间期延长(3.3%)等,未发现非预期的不良事件11。研究提示,艾伏尼布在中国IDH1突变R/R AML患者中观察到的安全性和疗效数据与关键性研究AG120-C-001中观察到的数据相当,具有临床获益,有望满足中国此类患者的医疗需求。

图2. 接受艾伏尼布治疗的中国患者的缓解率

图3. 接受艾伏尼布治疗的中国患者的生存期
凭借艾伏尼布在中国患者中的优异表现,2024版CSCO恶性血液病诊疗指南、中国复发难治性急性髓系白血病诊疗指南(2023年版)均推荐艾伏尼布用于IDH1突变的AML患者12-13。
03
IDALLO研究:艾伏尼布治疗移植后复发AML中位缓解持续时间18.3个月
最近,一项法国骨髓移植和细胞治疗学会的多中心回顾性研究(IDALLO研究),评估了艾伏尼布在移植后复发AML中的疗效和安全性。
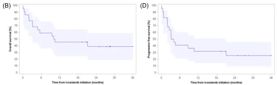
该研究共纳入22例12个法国中心2018年6月至2021年4月期间移植后复发的≥18岁IDH1突变AML或骨髓增生异常综合征患者。结果显示,移植后复发的中位时间为5.8个月。总缓解率(ORR)为40.9%,其中CR率为36.4%。中位缓解持续时间为18.3个月。中位随访27.4个月,中位OS为10.3个月,18个月生存率为45.5%。中位无进展生存期(PFS)为3.6个月(图4)。10例患者(45%)出现

图4. 移植后复发患者接受艾伏尼布治疗的生存期
AML移植后维持治疗迎来新希望,艾伏尼布助力生存获益
艾伏尼布不仅在治疗移植后复发AML中表现优异,而且在AML移植后维持治疗中展现出颇具前景的疗效优势。
一项多中心、Ⅰ期临床研究探讨了IDH1突变AML患者移植后接受艾伏尼布维持治疗的疗效和安全性。该研究共纳入了16例患者,分别在移植后第30-90天开始使用艾伏尼布每日500mg维持治疗,每28天为1个周期,持续12个周期,结果显示,2年OS率为88%,2年PFS率为81%,2年累积复发率为19%,2年累积非复发死亡率为0%。≥3级不良事件不常见,仅有2例患者发生3级QT间期延长。移植后6个月II-IV级急性移植物抗宿主病的累积发生率为6.3%,但未检测到III-IV级急性移植物抗宿主病病例(图5,表2)14。该研究提示,艾伏尼布作为IDH1突变AML患者移植后维持治疗方案,在OS、PFS方面展示出较好的优势,2年累积复发率仅为19%,同时耐受性良好,或可用于预防AML复发。

小结
近年来,随着靶向治疗药物等新药的出现和应用,R/R AML治疗飞速发展。其中,IDH1突变靶向药物艾伏尼布已在中国成功上市,为国内IDH1突变AML患者带来了诸多临床获益。相信艾伏尼布未来将涌现更多新进展、新突破,助力临床治疗阵线前移,为更多AML患者带来福音。
